在导电高分子这一充满活力的研究领域中,优米体育直播在线观看免费下载与霍尔效应测试的结合无疑开启了一扇通往深入理解与精准应用的大门。让我们共同探索这一先进技术如何揭示导电高分子的奥秘,并推动其在各个领域的创新应用。
导电高分子,如聚苯胺(PANI)、聚吡咯(PPy)和聚噻吩及其衍生物(PT 和 PEDOT),以其独特的电子结构和可调控的导电性,成为现代材料科学中的一颗璀璨明星。这些材料不仅具有传统金属导体所不具备的轻质、柔韧和可加工性,还能实现功能化,为电子器件、传感器、生物医学等领域带来革命性的变化。[1]
霍尔效应测试仪,作为测量材料霍尔效应的关键工具,能够通过测量霍尔电压,获得材料的霍尔系数。这一系数不仅揭示了载流子的类型(电子或空穴),还反映了载流子在磁场作用下的偏转特性,为理解导电高分子的电子输运特性提供了重要信息。[2]
优米体育直播在线观看免费下载,这一能够精确控制和改变样品温度的设备,与霍尔效应仪的结合,实现了变温条件下的霍尔效应测量。这不仅有助于研究导电高分子在不同温度下的电学行为,还能深入理解其导电机制,优化材料性能,并预测器件在实际应用中的表现。
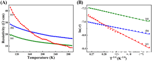
如Wenhao Xie等人[3]采用原位聚合聚苯胺纳米阵列 (PANI NAs) 包裹磁性还原氧化石墨烯 (rGO/Fe3O4) 气凝胶,通过水热法与冻干法相结合的方法制备了一种具有优异磁阻和压阻性能的新型三维纳米复合气凝胶 (rGO/Fe3O4/PANI NAs)。利用优米体育直播在线观看免费下载和常温霍尔效应测试仪实现了对该材料的电阻及磁性能测试,深入分析了其导电机理,并为材料性能的优化提供了数据支撑,如图1所示。

图1 电阻随温度的变化情况
此外,通过优米体育直播在线观看免费下载与霍尔效应测试的结合,我们能够精确地控制温度,观察导电高分子在不同温度下的导电性变化。这样的实验不仅有助于我们理解材料的半导体性质,还能评估其在实际应用中的热稳定性。例如,在开发新型导电高分子材料时,通过变温霍尔效应测量,可以快速筛选出具有优良导电性能的候选材料,为柔性电子器件、传感器等应用提供强有力的支持。
优米体育直播在线观看免费下载在导电高分子中霍尔效应测试的应用,不仅为材料科学研究提供了强大的工具,也为导电高分子的实际应用开辟了新的道路。通过精确的温度控制和深入的电学特性分析,我们能够更好地理解这些神奇材料的内在机制,为未来的技术创新奠定坚实的基础。
[1] Radzuan N A M, Sulong A B, Sahari J. A review of electrical conductivity models for conductive polymer composite[J]. International Journal of Hydrogen Energy, 2017, 42(14): 9262-9273.
[2] Rajyalakshmi T, Pasha A, Khasim S, et al. Synthesis, characterization and Hall-effect studies of highly conductive polyaniline/graphene nanocomposites[J]. SN Applied Sciences, 2020, 2: 1-11.
[3] Xie W, Yao F, Gu H, et al. Magnetoresistive and piezoresistive polyaniline nanoarrays in-situ polymerized surrounding magnetic graphene aerogel[J]. Advanced Composites and Hybrid Materials, 2022, 5(2): 1003-1016.



