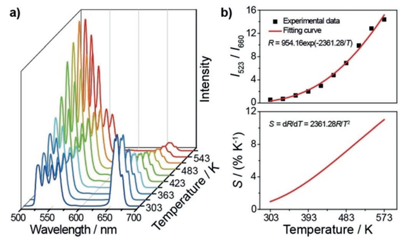
材料的发光特性随温度的变化规律是揭示其光物理机制、优化性能的重要依据。嘉仪通高精度控温优米体育直播在线观看免费下载与光纤/图像传感器系统,实现了一种高效、可靠的变温发光特性测试方案,并论证了该技术在材料科学研究中的可行性与创新价值。

优米体育直播在线观看免费下载通过液氮-电阻加热复合系统实现-196℃~600℃的宽范围控温(精度可达±0.1℃),配备石英窗口的密封腔体允许光路透射,确保发光信号无损采集。联用光纤与图像传感器采集材料发光情况或光学行为,测定发光特性。


优米体育直播在线观看免费下载与先进光学传感的联用,为材料变温发光行为研究提供了高精度、高效率的标准化工具。其技术可行性已通过多类材料验证,不仅加速了新型发光材料的研发进程,也为揭示温度依赖的光物理机制提供了不可替代的研究手段。



